高频电源高次谐波分析
一、 测试方法
电路图如下图所示,

电路图
三相市电经过滤波器L1输入到三相可控硅调整流电路,得到的脉动直流电源经过电抗器L2和母线电容C1至Cn滤波,再由IGBT桥式驱动电路输入到高频变压器,升压得到高压。
因为母线电容上储存的电能,IGBT在高频导通时,可以直接从母线电容上取电,避免从电网取电,减少了对电网的IGBT的大电流开关动作对电网的冲击,减少电流的高次谐波。
在测试的控制柜中,共安装了8个1050uF的电容,总容量为8400uF;
而电抗器L2是减小了在可控硅导通瞬间母线电容充电的大电流,降低对电网的冲突,减少电流的高次谐波;
而滤波器L1用于阻止高次滤波电流串入电网而影响电能质量。
本次测试用的除尘柜所使用的滤波器为200A的大功率滤波器,电抗器L2的电感量为0.36mH;
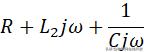
电抗器L2和母线电容C构成的LC谐振电路的谐振频率为:

如果导线电阻为R,从可控硅输入端到母线电容的阻抗为:

其幅度为:

当R=0.01Ω时,阻抗的幅度与频率的关系曲线为:

阻抗的幅度与频率的关系曲线
示波器用隔离变压器供电,用高频探头测量滤波器输入前的相电压波形,同时用另一个通道测量互感器耦合的母线电流波形。
示波器的时间基准调整为2.5ms/div,而一屏数据的总采样个数为2500,采样时间为25ms,采样率为100kHz;取其中2000个数据进行FFT变换,频率分辨率为50Hz;
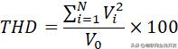
将示波器测得的相电压波形导出数据到文件,对数值进行FFT变化,得到相电压各个谐波的幅度,假设基频的幅度为V0,而其它高次谐波的幅度为Vi(i>=1),则总谐波失真定义为:

THD计算
按照要求,总谐波失真需要小于5%;
二、 测试结果分析



测试条件,导通角上升到40%,此时,用万用表测得母线电流为80A,一次电流为59A,母线电压为394V,二次电流为429mA,二次电压为71kV。
1. 电抗器L2对谐波失真的影响
再串入1个0.36mH/150A的电抗器,串入前后的波形以及未运行时的波形进行对比,如下:
红色为除尘电源未运行时的波形,绿色为只接1个电抗器的波形,蓝色为接两个电抗器的波形,多接入1个电抗器,失真情况稍有改善,7次谐波没有变化,5次、11次,13次谐波的幅度稍有降低。
除尘柜未运行时的THD为2.7%;
只接一个电抗器时的THD为5.3%;
接两个电抗器时的THD为4.3%;



2. 母线电容C对谐波失真的影响
红色为未运行时的电网波形,绿色为母线电感为8个电解电容运行时的电网波形;
蓝色为母线电感为6个电解电容运行时的电网波形
黄色为母线电感为4个电解电容运行时的电网波形


未运行时,THD=2.7%
接8个电容时,THD=5.3%
接6个电容时,THD=5.63%
接4个电容时,THD=5.66%
增加母线电容的效果不如增加电抗器的电感量明显;
3. 输入滤波器对谐波失真的影响
红色为未运行时的电网波形,绿色为0.36mH电抗器+4个电容+1个200A输入滤波器的波形,蓝色为不加输入滤波器的波形,黄色为再加1个150A输入滤波器的波形;


未运行时,THD=2.7%
接1个200A输入滤波器+1个150输入滤波器时,THD=5.70%
接1个200A输入滤波器,THD=5.79%
不接输入滤波器,THD=6.81%;
接入输入滤波器的效果明显。
三、总结
1. 高频电源已经提供了充分的谐波治理的措施,包括足够的母线电容,基本合适的电抗器以及串联了合适的输入滤波器
2. 控制拒的THD满足符合5%以内的要求,现场共有8个高频除尘电源在同时运行,可能柜子之间的谐波相互叠加导致了电网质量的恶劣
3. 母线电容的个数为8个,总容量为8400uF
4. 电抗器的电感量增加到0.72mH左右
5. 输入滤波器效果明显,可以换其它型号的输入滤波器测试


![[Android开发视频教学]调试程序(17)](http://editerupload.eepw.com.cn/201010/683c167fad51533886b36639ff2dafb2.jpg)

![[Android开发视频教学]Handler的使用(二)(15)](http://editerupload.eepw.com.cn/201010/060036606db1d754da56db282c235876.jpg)

![[Android开发视频教学]SQLite使用方法(16)](http://editerupload.eepw.com.cn/201010/fea269731ea0ed920e4ec7e9e0fc592e.jpg)



![[Android开发视频教学]ContentProvider初步(19)](http://editerupload.eepw.com.cn/201010/b03820209071d2a82c2d4064aea3b746.jpg)
![[Android开发视频教学]文件下载(18)](http://editerupload.eepw.com.cn/201010/1cb9881533ef9443d97dc579762a9f8f.jpg)
评论