COMSOL案例零基础讲解:建模+计算+分析一网打尽!
电子元件在日常生活中随处可见。随着电子技术的不断发展,电子元件的集成度越来越高,人们对电子元件的性能要求也越来越高,为了达到这些要求,电子元件所需要的功率就会相应地增大。在电子元件工作时,一定会产生热量,这些热量如果不能及时地散发出去,就会在电子元件附近造成较高的温度区域,当电子元件处在高温下,其性能就会下降,而且如果热量长时间得不到散去,最终将会导致电子元件由于高温影响而烧毁。
下面还是通过案例分析,进一步熟悉COMSOL操作。
首先对电子元件机箱长方体区域附近散热进行数值分析,再以电子元件为热源,分别对正常状态和满载状态进行仿真分析。
建模与仿真
整个计算域为长方体区域,整体模型尺寸为80×3×15 (mm),矩形区域中设置有散热器,下面与显卡电子元件连接,右边为进风口,左边为出风口。
1
控制方程
在COMSOL Multiphysics 中设置多物理场耦合模块非等温流动来进行耦合计算,假设传递过程是稳态,空气流动状态为层流,空气、散热器与电子元件之间的热传递为流体和固体传热。
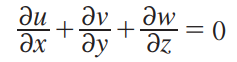
(1)连续性方程又称质量方程
u,v,w—流体在 x,y,z 方向上的速度分量,m/s。
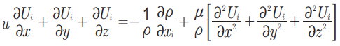
(2)动量方程
Ui—i 方向上的速度分量,m/s;xi—坐标;p—流体密度,kg/m3;μ—动力黏度, kg/m·s。
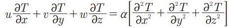
(3)能量方程
T—温度,K;α—流体热扩散率, m2/s。
2
边界条件与初始值
层流模块中进风口边界条件设为速度条件,速度设置为 10,15,20,25,30,35 cm/s 六个梯度,出风口边界条件设为压力条件,出口相对压力为 0 MPa,其他壁条件均设为无滑移壁条件;传热模块中长方体区域设置环境温度为 20 ℃,进风口温度为环境温度 20 ℃,其他壁面设置为热绝缘边界,热源为电子元件,设置其正常状态发热功率为 1 W,满载状态下发热功率为 2 W。
3
材料属性
长方体散热计算区域材料设置为空气,电子元件材料设置为硅,散热器材料分别设置两种材料对比计算,第 1 次仿真计算时设置散热器材料为铜,保存此次计算结果,第 2 次仿真计算时设置散热器材料为铝,其他计算域材料不变,同样保存此次结果。材料参数均可在COMSOL Multiphysics 中材料库进行添加,其材料属性如表 1 所示。
表 1 材料属性
4
网格划分
在 COMSOL Multiphysics 中利用其自带的网格模块对整体模型进行网格划分,网格类型选择四面体网格,单元大小选择常规,使用网格贡献选择流体模型。如图 2 所示为散热模型网格图。
5
求解
研究采用稳态求解,求解器选择 PARDISO求解器,求解容差设置为 0.001,求解结果包括速度场和温度场。采用参数化求解来对比不同参数下的结果,对进风口速度进行参数化求解,可在一次计算中得到不同进风口速度下的计算结果,最后稳态求解所有物理场进行全耦合计算得到结果。
表 2 长方体区域最高温度
结论
运用COMSOL Multiphysics中CFD模块中的非等温模块对长方体机箱中电子元件散热进行数值分析,通过耦合层流和传热模块进行仿真分析,电子元件作为恒定热源,空气作为冷却介质,仿真模拟长方体机箱中的温度场和速度场,仿真分析不同的入口速度对机箱中散热的影响,以及不同材料的散热器对其散热的影响。使用稳态求解器得到了长方体机箱中等温线分布以及速度场分布。
以上就是案例模拟的重点部分啦,你学会了吗?
本文来源公众号:comsol仿真交流
*博客内容为网友个人发布,仅代表博主个人观点,如有侵权请联系工作人员删除。







