了解您的安全应用说明(第1部分):故障率
故障率或基本故障率是指每单位时间的故障数,通常以时间故障 (FIT) 表示,相当于产品在其使用寿命内预计会发生一次故障。图 1 显示了电子元件故障的可靠性浴盆曲线模型,可分为三个部分:早期寿命或婴儿死亡率故障、使用寿命或恒定(随机)故障以及磨损故障。因此,本文重点介绍组件使用寿命内的故障率。
本文引用地址:https://www.eepw.com.cn/article/202506/471704.htm
1. 所示为可靠性浴盆曲线。1
了解电子系统中组件的故障率对于进行可靠性预测以评估整体系统可靠性至关重要。可靠性预测包括指定可靠性模型、要假设的故障模式、诊断区间和诊断覆盖率。这些预测可作为可靠性建模技术的输入,例如故障模式和影响分析 (FMEA)、可靠性框图 (RBD)、故障树分析 (FTA) 等2,3。
根据功能安全,基本功能安全标准 IEC 61508 的第二部分需要根据安全完整性等级 (SIL) 目标预测与安全相关系统的随机硬件故障相关的定量可靠性。3 它规定了安全相关系统 (SRS) 的硬件方面的要求。表中显示了与 SRS 发生危险故障概率相关的此类 SIL 目标。

如何开始预测系统的可靠性
存在多个数据库来提供系统集成商在设计系统时可以使用的故障率。电子和非电子元件的故障率数据可用来源包括 IEC 技术报告 62380:2004、西门子标准 SN 29500、ADI 元件平均故障时间 (MTTF) 数据、现场返回和专家判断。4
ADI 元件 MTTF 数据可以在 analog.com 的 Reliability 部分下找到。可靠性数据和资源下是晶圆制造数据、组装/封装工艺数据、Arrhenius/FIT 率计算器、百万分之几计算器和可靠性手册。图 2 显示了每个 resource subsection 包含的内容。
2. Analog Devices 的可靠性数据和资源。
为了帮助理解前三个引用的半导体故障率数据源(ADI 元件 MTTF 数据,侧重于 Arrhenius 高温工作寿命 (HTOL)、西门子标准 SN 29500 和 IEC TR 62380:2004)之间的差异,以下部分将提供有关每种方法和相关数据库的一些见解。5,6
什么是 Arrhenius HTOL?
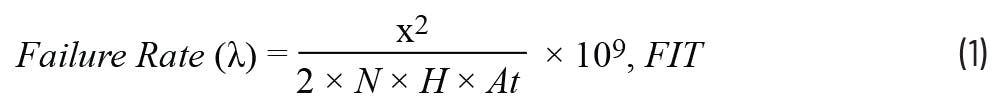
HTOL 是 JEDEC 标准中定义的最常用的加速寿命测试之一,用于估计组件故障率。HTOL 测试旨在模拟设备在高温下的运行,以提供足够的加速度来模拟在环境温度(通常为 55°C)下多年的运行。 因此,HTOL 估计半导体元件(例如 MTTF)在加速应力条件下的长期可靠性,该条件下压缩了模拟元件寿命的时间,同时加热元件并保持其工作电压。
深入研究可靠性计算的细节,通过使用活化能为 0.7 eV 的 Arrhenius 方程,将 HTOL 加速测试条件(125°C 或同等温度下 1,000 小时)下生成的数据转换为最终用户工作条件下的寿命(55°C 下 10 年)。卡方统计分布用于根据 HTOL 测试的单位数计算失败率数据的置信区间(60% 和 90%)。

哪里:
x2 是逆卡方分布,其值取决于失败次数和置信区间
N 是 HTOL 测试的单位数量
H 是 HTOL 测试的持续时间
at 是根据 Arrhenius 方程计算的从测试到使用条件的加速因子
晶圆制造数据是 analog.com 提供的可靠性数据和资源之一。单击它将提供包含产品的整体寿命测试数据摘要的数据。这包括总体样本量、不合格数量、55°C 下的等效设备小时数、FIT 值(基于 HTOL 数据)以及 60% 和 90% 置信水平下的 MTTF 数据。图 3 显示了一个示例。
3. analog.com 中的 Wafer manufacturing data(晶圆制造数据)选项卡
功能安全通常需要 70% 的置信度,因此可以保守地使用 90% 的水平。或者,可以使用“如何更改可靠性预测的置信度”中所示的过程进行转换。5
什么是西门子 Norm 29500?
SN 29500 标准是由西门子发起的基于查找表的标准,被广泛用作 ISO 13849 中可靠性预测的基础。这样,可靠性预测是通过故障率来计算的,其中故障率定义为在给定环境和功能运行条件下,在某个时间间隔内平均可以预期的故障比例。该标准被认为是确定组件故障率的保守方法。
每个器件类别的参考 FIT 值基本上是根据特定组件类的字段返回确定的。因此,它们将包括应用程序中看到的任何类型的失效类型,而不仅仅是由上一节所示的 HTOL 方法引起的固有失效。这包括由于电气过应力 (EOS) 引起的故障,在 HTOL 测试中使用的受控实验室环境中不会发生故障。5-8
公式 2 显示了 SN 29500-2 如何推导出集成电路的故障率。首先,它提供了一个参考故障率,该故障率对应于标准定义的参考条件下的组件故障率。由于参考条件并不总是相同的,因此该标准还提供了转换模型,以根据应力作条件(如电压、温度和漂移敏感性)计算故障率,如公式 2 所示。

哪里:
λref 是参考条件下的故障率,随晶体管数量的变化而变化
πU 是电压依赖性系数
πT 是温度依赖因子
πD 是漂移敏感因子
根据 IC 的性质,公式 2 可能会有所不同。例如,当它是具有扩展工作电压范围的模拟 IC 时,可以使用公式 2。对于具有固定工作电压的所有其他模拟 IC,电压依赖性系数将设置为 1。对于数字 CMOS-B 系列,漂移敏感度系数将设置为 1。最后,对于所有其他 IC,电压依赖性和漂移敏感度系数都将设置为 1。
请注意,IEC 617099 标准提供了有关如何将可靠性预测从一组条件转换为另一组条件的信息,这似乎是 SN 29500 背后的理论。
什么是 IEC 技术报告 62380:2004?
IEC 62380 是另一种常用的估计 IC 故障率的标准。它于 2004 年发布,随后被 IEC 61709 取代。尽管如此,IEC 62380 标准仍被用作汽车功能安全标准 ISO 26262:2018 的参考;在第 11 部分中,它仍然作为电子元件可靠性预测的模型提供。该标准将 IC 的故障率计算为裸片、封装和 EOS 的总和。根据 IEC TR 62380 和 ISO 26262-11:2018 的 FIT 计算表达式如公式 3 所示。10-12

哪里:
λdie 是芯片故障率,包含与晶体管数量、IC 系列和所用技术以及任务配置文件数据(如温度、工作时间和年循环影响因子)相关的参数
λ封装是封装故障率,包含与热因数、热膨胀、任务配置文件的循环温度因数和 IC 封装相关的参数
λoverstress 是过应力失效率,对于不同的外部接口有相应的术语
ADI 安全应用笔记中的故障率
除了可以在 analog.com 上找到的可靠性数据外,ADI 公司 (ADI) 元件的可靠性预测也可以在 IC 的安全应用说明中找到,当 IC 标记为支持 FS 时,通常可以获得该说明。例如,LTC2933 的安全应用说明显示了从 HTOL、SN 29500 和 IEC 62380 可靠性预测方法得出的零件的 FIT 值。这可以在图 4、 5 和 6 中看到。
4. 根据 LTC2933 安全应用说明,基于 Arrhenius HTOL 的 FIT。ADI 公司
5. FIT 基于 SN 29500,符合 LTC2933 安全应用说明。
6. FIT 基于 IEC 62380,符合 LTC2933 安全应用说明。
图中所示的表格显示了 FIT 值以及考虑的条件。如果系统集成商有不同的条件,他们可以使用表格下的可用信息自行计算 FIT。
结论
本文概述了集成电路的三种最常见的可靠性预测技术,即 Arrhenius HTOL、SN 29500 和 IEC 62380。基于 Arrhenius 公式的计算利用 HTOL 测试的数据提供了 FIT 中的失败率。SN 29500 提供参考故障率以及转换模型,以考虑不同的应力作条件。IEC 62380 规定电子元件的故障率为芯片故障率、封装故障率和过应力故障率的总和。
对于 ADI,元件的故障率可以在 analog.com 或元件的安全应用说明中找到。安全应用说明的优势在于,它根据所讨论的三种方法提供了组件的可靠性预测。最重要的是,还提供了计算此类 FIT 值所需的信息,以便系统集成商可以在具有不同的工作条件时自行重新进行计算。











评论