10BASE-T1L单对以太网电缆长度和链路性能
随着 10BASE-T1L 以太网在各个行业的出现,越来越多的应用出现,每个应用都带来了成功部署该技术需要解决的新挑战。一个常见的要求是支持多种电缆类型。在某些情况下,这些电缆已用于传统通信系统,并且经常出现在现有安装中。10BASE-T1L 标准中电缆定义的灵活性允许此类电缆的再利用,从而创造了优于其他技术的优势。
本文引用地址:https://www.eepw.com.cn/article/202504/469551.htm这种灵活性引发了常见问题,例如是否可以使用任何电缆实现 1 公里,或者性能是否与电缆类型无关。链路性能和覆盖范围取决于电缆的特性,而电缆的特性又取决于电缆的结构。本文总结了与该技术相关的电缆特性,描述了电缆长度的依赖性作为这些特性的函数,并提供了已测试的电缆列表。
高级物理层和 10BASE-T1L
高级物理层 (APL) 规范和 IEEE 802.3cg 10BASE-T1L 规范(图 1)是两个相互关联的不同标准,但它们不应互换使用。IEEE 802.3cg 标准定义了 10BASE-T1L 物理层,用于通过独立于应用的单根双绞线进行长距离以太网通信。
APL 标准在 IEEE 802.3cg 的基础上增加了额外的规范和定义,以便在本质安全环境中的过程控制应用中可以使用相同的物理层。这意味着任何 APL 器件都符合 10BASE-T1L 标准(数据层,但不是数据线的供电),但并非每个 10BASE-T1L 器件都符合 APL 标准。
APL 文档包括数据层和系统定义的规范,涵盖电磁兼容性 (EMC) 性能、电缆屏蔽连接和网络拓扑等方面。
例如,如图 1 所示,APL 规范定义了同一网络中两种类型的数据链路:支线和中继。支线链路直接连接到现场设备,长度不能超过 200 m,由于现场设备的本质安全环境,在 1.0 V p-p 传输电平下运行。连接现场开关或将上游连接到最近的电源开关的干线可延伸至 1,000 m,并以 2.4 V p-p 传输电平运行。
在其他 10BASE-T1L 应用程序中,例如楼宇自动化技术中的应用程序,不需要 APL 合规性。因此,支线和树干的概念并不相关。事实上,这项技术中的网络拓扑可能因星形到线形或环形或这些的组合而异。
传输电平可以根据功率限制或抗噪性进行选择,而与传感器或网络交换机的放置位置无关。这允许更灵活地使用电缆,因为 2.4 V p-p 传输电平可以独立于链路所在的位置使用,从而对电缆中的信号损失具有更高的容忍度,并且电缆的标称阻抗不那么严格。以下部分将更详细地探讨这一点。
标准中规定的电缆特性
电缆必须满足的链路段特性符合 IEEE 802.3cg 标准,在同一文档的第 146.7 小节中指定。本小节规定了插入损耗、回波损耗、最大链路延迟、差分到共模转换(用于非屏蔽电缆)和耦合衰减(用于屏蔽电缆)的限值。
此外,对于涉及本质安全的应用,例如安装在爆炸性区域(0 区,高爆炸性;1 区,可能产生火灾或爆炸;2 区,可能会发生爆炸或火灾,但可能性不大),APL 规范文档为 10BASE-T1L 物理层的作添加了额外的规则和定义。它包括布线的定义:电缆分类、支线和干线链路的最大电缆长度、屏蔽等。
Insertion Loss
电缆中的插入损耗以分贝 (dB) 为单位,反映了沿传输线(电缆)的信号减少。它计算为传输信号的功率与电缆末端接收信号的功率之比。这种损失或衰减会随着电缆的长度和信号的频率而增加。
根据 IEEE 802.3cg 标准,最大允许插入损耗随传输电平而变化:2.4 V p-p 高于 1.0 V p-p,以适应不同的信号强度及其各自的要求。
IEEE 802.3cg 规范
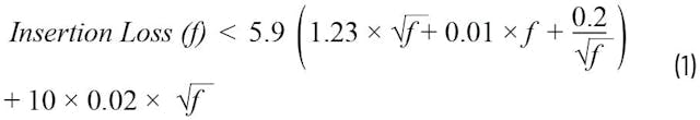
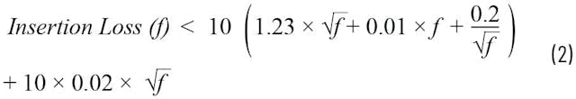
IEEE 802.3cg 子条款 146.7.1.1 中规定了两条极限曲线,如下所示:对于 1.0 V p-p 传输电平:
对于 2.4 V p-p 传输电平:
在这两个公式中,f 是以 MHz 为单位给出的频率,0.1 MHz ≤ f ≤ 20 MHz。图 2 显示了对应于 1.0 V p-p 和 2.4 V p-p 传输电平的插入损耗限制。
APL 分类
APL 电缆规范根据电缆的插入损耗将电缆分为四类,这决定了支线或干线数据链路的最大允许链路长度。这些类别还符合 IEEE 802.3cg 10BASE-T1L 电缆规范。
1.0 V p-p 和 2.4 V p-p 的插入损耗限值分别与杂散和主干的工作要求一致。杂散必须在 1.0 V p-p 下工作,遵守相应的插入损耗限制,而主干在 2.4 V p-p 下工作,遵循更高的插入损耗限制。表 1 显示了所有 APL 电缆类别及其围绕电缆长度和插入损耗曲线的定义。
请注意,公式 4 与 IEEE 802.3cg 10BASE-T1L 规范中的公式 2 相同,而公式 3 不到公式 1 的一半,因此为连接到杂散的电缆指定了更保守的限制。
对表 1 的正确理解是,要使给定类型的电缆成为 APL IV 类,该电缆的 1,000 米样品的插入损耗必须低于公式 4 设定的阈值。如果不是这种情况,则电缆不符合 IV 类标准。
对于被归类为 APL III 类的电缆,其 750 m 样品的插入损耗必须低于公式 4。如果它不符合此标准,但 500 米长的电缆样本确实符合要求,则该电缆符合 APL II 类的条件。如果 500 m 样品失败,但 250 m 样品成功满足公式 4 阈值,则电缆被归类为 APL I 类。如果电缆不符合这些标准中的任何一个,则它不符合 APL 标准。
回波损耗
在理想情况下,当信号通过电缆的一端传输时,它应该被另一端的负载完全吸收。然而,如前所述,由于电缆的插入损耗,信号会减弱,并且一些能量也会反射回源。这些反射是由发射器和电缆之间或沿电缆本身的阻抗失配引起的,可能发生在任何点。
给定电缆的回波损耗量化了反射回源的信号量,通常以分贝为单位进行测量。回波损耗计算为发射信号与反射信号的比率,与插入损耗一样,回波损耗随频率而变化。
假设电缆质量高,其阻抗将始终保持一致,从而最大限度地减少除与收发器的连接点外的阻抗失配。如果给定的电缆链路由于损坏或结构不良而在其长度上出现故障,则情况并非如此。但是,就本文的目标而言,此方案将被忽略。
与 IEEE 802.3cg 10BASE-T1L 插入损耗规格不同,回波损耗规格与传输电平无关。这是正确端接电缆的回波损耗不取决于其长度的直接结果。因此,无论电缆长度是 200 m 还是 500 m,回波损耗都应保持一致,除非由于制造工艺或湿度和温度等环境条件而发生变化。
IEEE 802.3cg 标准规定了电缆必须遵守的最小回波损耗曲线(与频率),如下所示:
其中 f 是以 MHz 为单位的频率。
APL 规范
APL 规范还定义了电缆符合 APL 的最小回波损耗。此规范比插入损耗简单得多,因为它不会对收发器的两个传输电平进行任何区分:
其中 f 是以 MHz 为单位的频率。
请注意,APL 电缆回波损耗规范比 IEEE 802.3cg 规范更严格,因为它增加了 6 dB 的额外裕量。图 3 显示,任何具有回波损耗的电缆都符合 APL 规范和 10BASE-T1L 回波损耗规范。但是,并非每根符合 10BASE-T1L 回波损耗规范的电缆都符合 APL 规范。
最大链路延迟
链路延迟是指信号从电缆的一端传播到同一电缆的另一端所需的时间。这是电缆结构的结果,可以显示温度变化。链路延迟也可以表示为电缆标称传播速度 (NVP) 的函数,NVP 定义为信号通过电缆的速度与光速之间的比率。
电缆 NVP 始终低于 1.0,对于大多数电缆,介于 0.6 和 0.8 之间。在某些情况下,电缆的 NVP 值可能更接近 0.5,这意味着对于给定的电缆长度,电缆的链路延迟会更长。
IEEE 802.3cg 中为 10BASE-T1L 指定的最大链路延迟是一个固定数字,对应于 NVP 为 0.6 的 1,589 米电缆。这导致最大链路延迟为 8834 ns:
模式转换和耦合衰减
电缆的插入损耗和回波损耗是决定正常条件下电缆性能的主要参数。但是,工业应用要求系统能够承受高电磁干扰 (EMI) 环境。这些脉冲的范围从耦合到电缆的恒定频率音调到仅偶尔发生的高频、高能量脉冲。
无论受到何种干扰,10BASE-T1L 或 APL 通信链路都必须能够生存并避免数据丢失。由于大部分 EMI 来自外部来源,因此主要耦合机制之一是长单对电缆。因此,电缆特性在整体电磁抗扰度中起着重要作用。
耦合衰减 - 屏蔽电缆
对于屏蔽电缆,IEEE 802.3cg 标准定义了最小耦合衰减。这与以差分方式耦合到数据对的最大信号量有关。在屏蔽电缆中,这是屏蔽层的质量和覆盖率以及同一对内电线对称性的结果。因此,不同的盾牌会有不同的反应。例如,与具有 90% 覆盖率的编织屏蔽层的电缆相比,带有铝箔屏蔽层和排扰线的电缆可能会表现出不同的性能。
图 4 显示了安装在电磁环境 E1、E2 和 E3 中的系统的 IEEE 802.3cg 规范。E1 对应于部署在电磁环境中的设备,例如住宅、商业和轻工业建筑中的设备。E2 对应于部署在其他工业建筑的电磁环境中的设备。E3 对应于由车辆电池供电的设备。
差模至共模转换—非屏蔽电缆
假设同一对中的两根导线都是理想且对称的,则信号应相等耦合,从而产生共模信号,10BASE-T1L 信号路径中的 MDI 电路可以更有效地过滤该信号。然而,导线之间的不对称可能会导致一些共模信号表现为传输线上的差分信号。
如果此信号落在感兴趣的 10BASE-T1L 带宽(100 kHz 至 20 MHz)范围内并且足够大,则可能会中断自动协商过程或数据传输。此外,这种不对称性可能会将 10BASE-T1L 的部分差分信号转换为共模信号,从而增加电缆损耗并可能降低性能。
为了缓解这些问题,IEEE 802.3cg 标准根据电缆运行的电磁环境规定了最小差分到共模转换 (TCL)。图 5 显示了电磁环境 E1 和 E2 的规格。
特征 对长度的依赖性
在 IEEE802.3cg 10BASE-T1L 标准中,电缆特性没有针对特定长度定义,导致经常询问最大覆盖范围和合规性。例如,1,000 m 长的 Cat5/Cat6 通常不符合 10BASE-T1L 标准,因为它的插入损耗超过了公式 1 和 2 设定的限制,而大约 700 m 的同一电缆可能符合标准。
插入损耗对电缆长度的依赖性
如前所述,插入损耗表示信号衰减,通常相对于频率表示。因此,以分贝为单位的插入损耗与电缆长度成正比。
这意味着长度为另一根相同类型电缆长度 k 的链路段的总插入损耗为 k 乘以较短电缆的插入损耗。例如,一个 1,000 m 的电缆样本的插入损耗曲线近似等于 100 m 相同类型电缆样本的插入损耗曲线的 10 倍。
回波损耗与电缆长度的关系
假设整个长度的结构均匀(一致的线径、线之间的恒定间距、每米均匀的扭曲等),电缆的回波损耗不会随长度而变化。
这个假设对于 10BASE-T1L 通信的频率范围相当适用。但是,由于每个连接处都可能发生反射,因此由相同类型的互连段组成的电缆可能比单个连续段表现出更严重的回波损耗。为简单起见,本节假设给定电缆类型的回波损耗保持不变,而不管长度如何。
链路延迟与电缆长度
对于给定的电缆,信号延迟与电缆长度成正比。通过电缆的信号延迟因电缆类型而异,并且是其结构的函数。通常,电缆制造商将此信息作为 NVP 的函数提供。公式 8 显示了如何根据电缆的 NVP 值计算链路延迟。
其中 L 是所讨论的电缆的长度,NVP 是电缆的标称传播速度,c 是光速。
图 6 显示了两根电缆的链路延迟与电缆长度的关系,一根电缆的 NVP = 0.5,另一根电缆的 NVP = 0.8。请注意,即使 NVP 值较低,该标准也可以容纳对应于超过 1,300 m 的链路延迟。标准中内置了足够的裕量,以提供稳健性和随温度变化。
最大电缆范围
电缆长度的主要限制通常是插入损耗,这就是 APL 类别基于此因素的原因。插入损耗与电缆长度成正比,因此将电缆长度限制设置在 APL 类别中。
对于非 APL 应用,10BASE-T1L 技术具有更大的灵活性,支持屏蔽和非屏蔽电缆、阻抗不匹配较多的电缆、电缆的再利用等。此外,某些应用程序可能使用超出 IEEE 802.3cg 标准规范的电缆。为了适应这些应用,ADI 公司的 10BASE-T1L 产品组合具有显著的内置裕量,可实现长达 1,700 m 的通信距离,并确保各种电缆类型的稳健性能。
但是,最大传输距离因电缆而异,市场上并非每种类型的电缆都能达到 1,700 m。某些电缆可能会表现出更高的信号损失,从而导致距离更短。
最大覆盖范围和电缆符合 IEEE 802.3cg 标准
如果安装旨在符合 IEEE 802.3cg,则布线和 PHY 设备都必须符合该标准。本节深入探讨了 insertion 和 return loss 的规范,以及一致性验证过程。此外,它还概述了一种估计和测试给定类型电缆的最大覆盖范围的方法。
图 7 显示了如何计算电缆的最大范围。该流程图依赖于给定电缆样本的插入损耗和回波损耗的测量。
理论上,电缆的长度不应影响这些结果;然而,在实践中,测量误差会随着电缆长度的减小而增加。因此,APL 规范建议使用 500 m 样品测量电缆。对于非 APL 应用程序,本文档建议使用至少 100 m 的电缆以获得可接受的结果。
为了确保合规性,第一步涉及评估电缆在各种频率下的回波损耗。如果回波损耗低于公式 5 中概述的阈值,则电缆不符合标准,无需进一步测试。
但是,如果电缆的回波损耗高于指定曲线,下一步是根据公式 1 或 2 中设置的基准评估电缆的插入损耗。如果插入损耗超过这些曲线,则认为该电缆不合规。
在验证了插入损耗和回波损耗后,该图提出了一种估计满足规格的最大允许长度的方法。这是通过将测得的插入损耗乘以系数 k 来获得尽可能接近公式 1 中描述的 1.0 V p-p 或公式 2 中描述的 2.4 V p-p 传输电平的曲线来实现的。
通过乘以因子 k,外推估计相同类型但扩展到测试样品长度的 k 乘以的电缆的插入损耗。目标是确定外推插入损耗曲线保持在所需规格曲线以下的最大 k,并在外推过程中迭代调整 k。
以下示例可用于说明此方法,并假设已测量插入损耗和回波损耗。
第 1 步:回波损耗验证
图 8 显示了给定类型、长度为 100 m 的电缆 X 的回波损耗验证,以及 IEEE 802.3cg 和 APL 的回波损耗规格。请注意,电缆测得的回波损耗中的每个点都大于 APL 和 IEEE 802.3cg 回波损耗规格。这意味着被测电缆符合两种回波损耗标准。
第 2 步:插入损耗验证
插入损耗可以通过绘制电缆的插入损耗与规格的关系图来验证(图 9)。测量了电缆 X 的插入损耗,并以稳定的蓝色显示。请注意,该曲线远低于红虚线和虚线中绘制的 1.0 V p-p 和 2.4 V p-p 10BASE-T1L 规格。
这意味着这种相同类型电缆 X 的任何 100 米链路都可以在 1.0 V p-p 或 2.4 V p-p 的 10BASE-T1L 链路中使用。
第 3 步:计算符合 IEEE 802.3cg 标准的最大长度
本节重点介绍 IEEE 802.3cg 标准,而不是 APL 分类。但是,可以根据表 1 进行类似的分析。
测得的插入损耗可以通过将每个数据点乘以系数 k 来推断,因此,当根据 1.0 V p-p 或 2.4 V p-p 标准绘制时,所得曲线低于两条曲线中的任何一条,具体取决于要使用的传输幅度。
图 10 显示了 1.0 V p-p 的 IEEE 802.3cg 插入损耗规格,以及通过选择 k = 7(绿线)获得的外推曲线。绿色曲线是通过将 100 m 电缆样本的插入损耗的每个数据点乘以 k = 7 获得的。请注意,获得的外推略略低于 1.0 V p-p 规格,这意味着 700 m(乘以 k = 7 倍电缆长度得出)是符合非 APL 应用中 1.0 V p-p 传输电平的近似最大长度。任何低于 700 m 的长度也符合 1.0 V p-p 传输电平规范。
同样,图 10 显示了 2.4 V p-p 的 IEEE 802.3cg 插入损耗规格,以及通过选择 k = 12(蓝线)获得的外推曲线。该曲线的获取方式与上述类似,即将 100 m 电缆样本的插入损耗的每个数据点乘以 k = 12。
请注意,外推曲线也略低于 2.4 V p-p 规格,这意味着 1,200 m 是符合 2.4 V p-p 传输电平(基于其插入损耗)的近似最大长度。任何低于 1,200 m 的长度也将符合 2.4 V p-p 规范。
分析得出的结论是,根据插入损耗和回波损耗标准,在非 APL 应用中,这种特定电缆类型的最大允许链路段约为 700 m(对于 1.0 V p-p)和 1,200 m(对于 2.4 V p-p 传输电平)。但是,对于需要完全符合标准的应用,最大链路段不得超过 1,000 m。
此方法可应用于其他电缆类型,可能导致最大合规链路段小于 1,000 m。例如,当对 Cat5/Cat6 电缆进行类似评估时,符合 10BASE-T1L 标准的典型最大长度通常不超过 700 m,尽管这可能因特定电缆品牌和型号而异,因为有些电缆可能会提供额外的余量。
电缆测试以估计最大范围
电缆测试程序包括使用矢量网络分析仪 (VNA) 估计电缆的参数,并使用 ADI 的 EVAL-ADIN1100EBZ 评估套件执行以太网流量测试。该评估套件具有媒体转换器功能,并通过其评估软件提供对诊断功能(如帧生成器、帧检查器、均方误差和环回模式)的访问。
测试程序
电缆测试包括使用 VNA 测量被测电缆的插入损耗和回波损耗。然后应用这些参数来评估电缆合规性并估计符合 IEEE802.3cg 10BASE-T1L 标准的最大电缆长度。最大兼容长度对应于特定类型电缆的最大长度,该电缆仍符合 IEEE 802.3cg 中定义的 2.4 V p-p 或 1.0 V p-p 插入损耗曲线(再次图 2)。
进一步的测试包括通过被测电缆连接两个 EVAL-ADIN1100EBZ 评估板,以建立 10BASE-T1L 链路。后续的链路性能测试包括使用片上帧生成器以全带宽传输以太网流量。在每个 EVAL-ADIN1100EBZ 板上监控 10BASE-T1L 链路的均方误差 (MSE),以及错误计数和接收的以太网帧数量。只有在以下情况下,测试才会标记为通过:
10BASE-T1L 建立成功。
MSE 优于 –20.5 dB。
在执行测试期间,接收的帧中没有错误。
对相同电缆类型的不同长度重复进行此测试,以确定故障点。但是,在某些情况下,最大测试长度对应于实验室中可用的最大长度,而不一定是电缆的最大范围。
同样,在电缆长度增量超过 100 m 的情况下,识别的故障点可能无法准确表示绝对最大电缆长度。例如,如果只有 500 米的线段可用,则可能会使用 1,000 米(连接了两个 500 米的线段)成功建立链接,但在 1,500 米处失败。虽然真正的最大长度可能是 1,200 米,但此特定长度不可用于测试,因此最后记录的数据点仍为 1,000 米。
表 2 显示了在实验室中测试的各种电缆,在两种传输水平下估计的最大长度均符合 10BASE-T1L 标准,以及使用 EVAL-ADIN1100EBZ 评估板在 2.4 V p-p 和 1.0 V p-p 下测试的长度。
结论
IEEE 802.3cg-2019 标准的灵活电缆定义支持以前在旧通信协议中使用的各种电缆类型,保持广泛的覆盖范围,通过以太网连接无缝连接边缘设备,而无需网关。
Analog Devices 的 ADIN1100、ADIN1110 和 ADIN2111 包括内置裕量,以支持符合标准和不符合标准的电缆。虽然应用最好遵守 IEEE 802.3cg 或 APL 规范,尤其是在过程控制方面,但现实情况是,许多系统需要重复使用现有布线以降低部署成本。
这种内置裕量增强了数据链路的稳健性,并有助于将 10BASE-T1L 技术用于各种电缆类型,包括已经为其他通信协议安装的电缆。这种灵活性有助于确保 ADI 的 10BASE-T1L 器件能够在 1.0 V p-p 和 2.4 V p-p 传输电平下保持一致的电缆范围。
此外,ADI 公司的 10BASE-T1L 诊断工具(如帧生成器、帧检查器、通过均方误差的链路质量指示器以及带 TDR 的电缆故障检测器)支持规划、调试和运行阶段的系统诊断。这些工具有助于简化部署,通过提供诊断见解来最大限度地减少停机时间,并减少故障发生时的纠正性维护。


图1. 用于过程自动化应用的 APL 网络拓扑(左)。用于楼宇自动化技术的线形和环形拓扑(右)。

























评论